El sistema ya es estable, pero, aun así, se puede usar un controlador PID para ajustar las características como el tiempo que el sistema tarda en entrar en régimen permanente y el Overshoot.
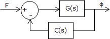
Lo que se desea hacer es agregar un controlador
C\left ( s \right )en la malla de realimentación, así, el nuevo sistema seríía:

Para más detalles sobre el controlador PID, clicar en la lupa.
Podemos, entonces, intentar encontrar valores de
K_{P},
K_{I} e
K_{D} que dejen el sistema con las características deseadas. Es posible analizar el efecto del controlador en el sistema a través de la respuesta al escalón.
Así, dados los parámetros de un motor de corriente continua: