fechar
fechar

Critério de Estabilidade de Nyquist

Para que o sistema seja estável, ele não deve ter zeros da FTMF no SPAD. O critério de estabilidade de Nyquist diz que o número Z de zeros no SPAD pode ser calculado através de

Z = P - N

Onde:

P - Número de polos da FTMF no SPAD (que é igual ao número de polos da FTMA no SPAD).

N - Número de voltas no sentido horário que o diagrama de Nyquist dá em torno do ponto -1.

 
fechar

Controlador PID

O controlador PID é composto por três componentes:(1) Um termo proporcional K_{P},(2) um integral K_{I} e (3) um derivativo K_{D}. Sua função de transferência tem, então, a seguinte forma:

G\left ( s \right )=K_{P}+\frac{K_{I}}{s}+s\cdot K_{D}

Cada um dos termos causa diferentes efeitos no sistema:

K_{P} - Reduz o tempo de subida, também reduz o erro com a referência (porém sem nunca eliminá-lo) e aumenta o Overshoot.

K_{I} - Tem a capacidade de eliminar o erro com a referência, porém, a resposta transiente será afetada. O tempo de assentamento e o overshoot aumentam.

K_{D} - Aumenta a estabilidade do sistema, reduzindo o overshoot e o tempo de assentamento.

 

SIMULAÇÕES EM ENGENHARIA ELÉTRICA

 

 

 

 

 

 

 

detalhes

 

 

 

 

 

 

 

PÊNDULO INVERTIDO

ESTABILIZAÇÃO POR CONTROLE PID

Como é possível então estabilizar o sistema?

Uma forma de fazer isto é através de um controlador PID.

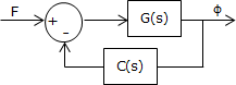
O que se deseja fazer é adicionar um controlador C(s) na malha de realimentação, então o novo sistema seria:


Para mais detalhes sobre o controlador PID, clique na lupinha.

Podemos então tentar encontrar valores de K_{P}, K_{I} e K_{D} que deixam o sistema com as características desejadas. O efeito do controlador no sistema pode ser avaliado através da resposta ao impulso.


M= kg    I= kg.m^2    m= kg    g = 9.8 ~~ kg.m / s^2

b= N/m/s   l =m    K_{P}=    K_{I}=   K_{D}=



A condição de estabilidade do sistema também pode ser analisada através do diagrama de Nyquist e da FTMA.

Eixo real de a       Eixo Imaginário de a



voltar